
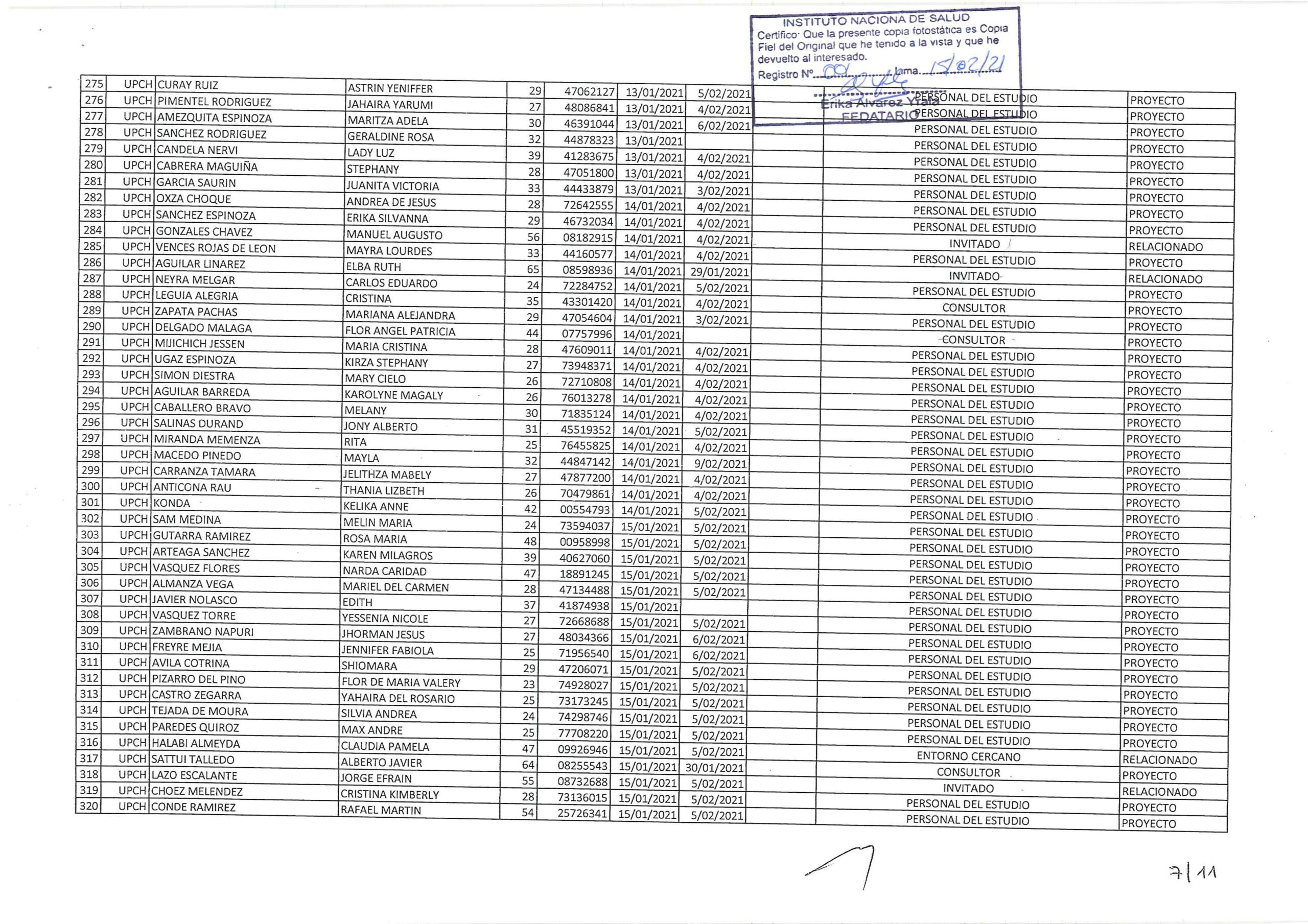
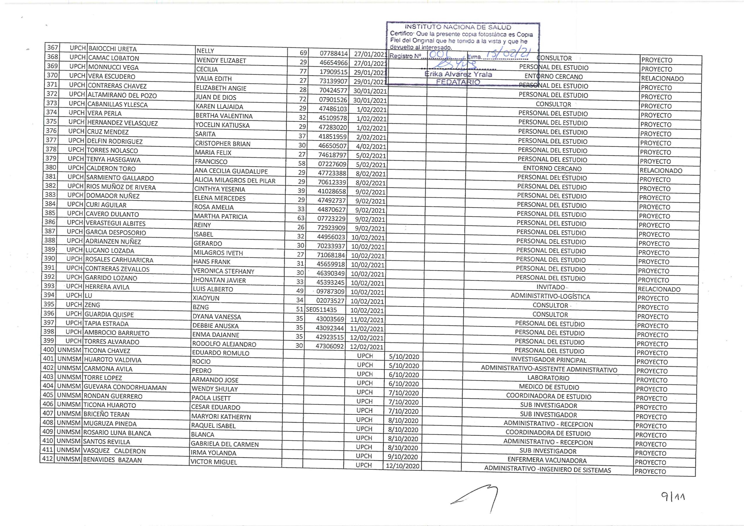
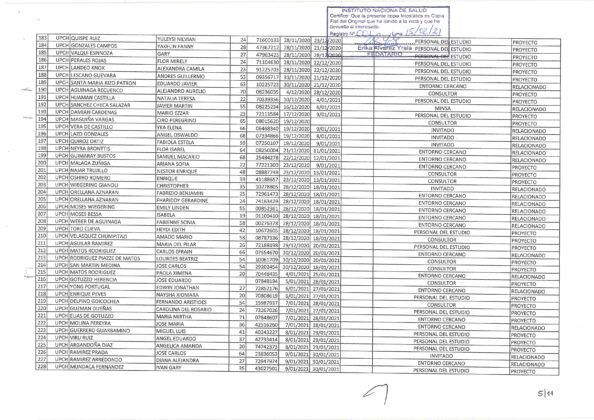
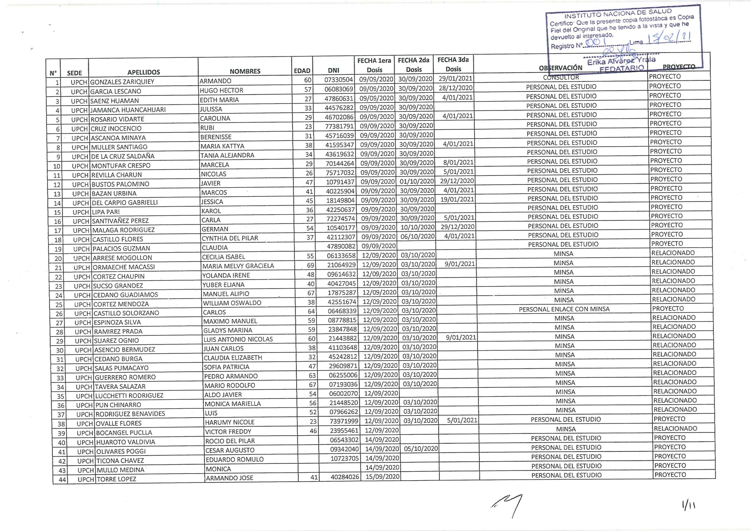
Compartimos a continuación las 12 páginas con la información de las 487 personas que accedieron a la vacuna de Sinopharm, al margen de los ensayos clínicos, según dijo este lunes 15 de febrero el presidente Francisco Sagasti.
La información fue remitida la noche del lunes 15 por la Presidencia del Consejo de Ministros (PCM) al Procurador General del Estado, a la Contraloría General de la República, el Congreso de la República y el Ministerio Público, para que actúen en el marco de sus competencias.
La lista contiene mayoritariamente los nombres del personal que participa en el estudio. También hay nombres del Ministerio de Salud y consultores. Algunos están clasificados como personal de Relaciones Exteriores y, finalmente, llama la atención los nombres consignados como “invitados” y “entorno cercano”.
El documento incluye precisamente el nombre del expresidente Martín Vizcarra en la fila número 81. El ahora candidato congresal por Somos Perú está registrado únicamente como “invitado” y no como voluntario participante del estudio.
También aparece la esposa del exmandatario, Maribel Díaz Cabello (fila 82). En este caso tampoco aparece como voluntaria, sino como “entorno cercano” de Martín Vizcarra.
En la fila número 149 aparece César Vizcarra Cornejo, hermano mayor del expresidente, pero está consignado solo como “entorno cercano”. Es decir, tampoco forma parte del estudio, según había deslizado el hoy postulante congresal de Somos Perú.
La lista también incluye el nombre de María Cecilia Blume, con fechas de aplicación de las dosis del 21 de noviembre y 16 de diciembre de 2020. Aparece como “invitada”.
Si bien por la noche se hizo público que el médico fujimorista Alejandro Aguinaga también accedió a la vacuna, en el documento también aparece el nombre de su esposa Fabienne Sonia Weber de Aguinada (fila 208). Se la consigna como “entorno cercano”. Aguinaga, que ahora postula al Congreso por Fuerza Popular, a través de Twitter dio explicaciones sobre su condición de “consulto”, pero no informó nada con respecto a su esposa.
El nombre de Pilar Mazzetti, hasta hace poco ministra de Salud, también consta en la lista (fila 262) y está consignada como parte del personal vacunado del MINSA. También aparece Germán Málaga Rodríguez, responsable del ensayo (fila 17). Asimismo, José Gotuzzo Herencia, como consultor, y María Elías de Gotuzzo como “entorno cercano”.
Universidades
Por otro lado, también sale a luz el nombre del rector de la Universidad Nacional Mayor de San Marcos, Orestes Cachay Boza, quien accedió a la primera dosis el 29 de diciembre del 2020 y a la segunda el 19 de enero de este año. También está el vicerrector Felipe San Martín Howard.
Del ámbito académico también están en la lista el rector de la Universidad Privada Cayetano Heredia, Luis Varela Pinedo (fila 351), que aparece claramente como “administrativo rector”, y los vicerrectores de esta casa de estudios Alejandro Bussalleu Rivera y José Espinoza Babilón. Los tres recibieron las dosis en forma conjunta, en las fechas 19 de enero y 9 de febrero de este año.
Personal de la Cancillería
La extensa relación también incluye nombres de personal del Ministerio de Relaciones Exteriores. Es el caso del canciller Jorge Arturo Jarama Alván (fila 86), director de ciencia y tecnología de dicha cartera ministerial.
Pero además aparece su esposa Darlene Mendisabal Quiñoñes (fila 84) y su cuñado Víctor Mendizabal Quiñones (fila 85). En el caso de la esposa, aparece como “entorno cercano”, mientras que el último es consignado como “consultor”.
Otro nombre es el de Javier Sánchez Checa, que aparece a fines del 2020 como jefe del despacho ministerial de la Cancillería. Aparece en la lista de vacunados pero consignado como MINSA – “relacionado”.
También accedió a la vacuna Jorge Efraín Lazo Escalante quien, según planillas de la Cancillería revisada por La República, se desempeña en la dirección ceremonial. Accedió a la vacuna como “invitado”.
Se suma a ellos Francisco Tenya Hasegawa (fila 379), que en la lista de vacunados aparece como “entorno cercano”, es decir, evita consignar la institución de la cual forma parte. Según planillas de Cancillería, cumple funciones en la Secretaría General de este sector ministerial.
Otro nombre: Manuel Augusto Gonzales Chávez. Figura en la relación como “invitado”. Según planillas del estado, cumple funciones en el despacho del viceministerio de Relaciones Exteriores.
Se suma a ellos la excanciller Elizabeth Astete Rodríguez (fila 363), que recibió la primera dosis el 22 de enero de este año. En el documento se le consigna, en general, como “Relaciones Exteriores”.
Suiza Lab
Es conocido que los voluntarios del ensayo clínico acceden a evaluaciones y también a pruebas moleculares, las mismas que están a cargo de Suiza Lab. Según SUNAT, Suiza Lab tiene como gerente general a Claudia Gianoli Keller, quien también aparece en la presente lista como “personal del estudio” (fila 134). Otras dos personas con el apellido Gianoli aparecen en la relación: Daniel Wiebering Gianoli (fila 162), que aparece como “personal del estudio” y Christopher Wiegering Gianoli (fila 203), que figura como “invitado”.
(Fuente: La República)
Presidente Sagasti confirma que Pilar Mazzetti también recibió la vacuna Sinopharm


















![“Soy enfermera y me infecté por segunda vez de Covid-19. Ahora toda mi familia está contagiada” [Testimonio]](https://archivo.cutivalu.pe/wp-content/uploads/2020/05/testimonio-lady-1-e1590693047591-100x70.jpg)



